通知公告  
 
  站内搜索
 
站内搜索:
 
 
当前位置: 首页>>新闻动态>>正文
 
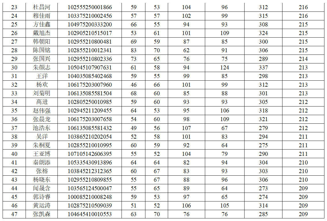
2025年硕士研究生调剂生(专业型)复试名单遴选结果(第三批)
2025-04-20 13:19  

备注:复试名单按照《beat365手机版官网入口2025年硕士研究生复试录取工作方案》中第五条遴选,第一优先(一志愿报考专业)、第二优先(本科毕业专业)第三优先(统考科目总分)进行排序

 

 

beat365手机版官网入口

2025420

关闭窗口